每一款好的產品,都有著自己的一些特性,它們都會在某些方面會表現出來突出的地方,bnc連接器也不例外。一般好的bnc連接器產品這兩方面一定很突出,您知道是哪兩方面嗎,下面就來聽聽德索五金電子工防師怎么說的吧。

評價bnc連接器產品好不好,一要看其機械性能。什么事機械性能,主要是指這個零件的插入力和拔出力是不是符合標準,插入力太高的話,插入困難,不但非常的不方便,而且時間長的話更會對整個機械帶來安全隱患。對于拔出力,這一個盡量要大,因為拔出力太小的話,容易造成脫落,不但影響連接器的使用壽命,而且對整個機械,也會造成一定的安全隱患。

評價bnc連接器產品好壞的第二個方面就是環境性能了,所謂環境性能就是要求連接器產品能耐高溫,可以在濕度大的條件下工作,并且可以抵抗沖擊、擠壓、震動的能力。一個好的連接器,肯定是可以在200度以上的高溫下正常工作的,零件更不會因此受損。另外是低溫方面,要經過零下六十攝氏度的低溫測驗,因為連接器的工作場合不固定,很多的設備都要在特殊的場合下工作,所以,這一個不得不防。

科技時代,技術革新不斷前進,機械化的設備也不斷突破,代替人力的趨勢也愈加明顯。在機械方面,有一個極為關鍵的部分便是連接器,別看這些零件個頭雖小,但發揮出來的作用是巨大的。連接器作為一個起到連接器作用的產品,它的好壞,直接決定機械的性能及壽命,因此選擇一款好的連接器就成了各大采購者的重要功課。采購bnc連接器也是如此。

閱讀完上述內容之后,您對于好的bnc連接器產品在哪兩方面會比較突出應該已經有一個基本認識了,更多關于bnc連接器的技術文章,直接進入知識專題頻道查閱。德索五金電子,主打的bnc連接器產品,不管是機械性能,還是環境性能都是嚴格符合生產標準的,所生產的bnc連接器產品均通過了ISO認證,符合國家上的環保要求,并且承諾您一年內免費質保。

中國制造異突起,越來越多被國外企業認可,但是您有沒有想過,中國連接器工業在老外眼里到底是什么樣的呢?下面德索五金電子將為您展現一下老外眼中的中國連接器工業情況,擦亮雙眼,不要錯過額。

美國連接器市場研究公司Fleck Research在1999年下半年的時候,便開始了對亞洲連接器工業調研的工作,并且多次到中國大陸、中國臺灣、日本以及韓國旅行,訪問了97家連接器制造公司。之所以會出現這樣的局面,是因為亞洲連接器對于世界來說更加的重要。亞洲連接器的工廠生產總值超過80億美元,有幾千多家供應商,是世界上連接器工業增長率最高的地區。

僅中國而言,Fleck訪問了47家連接器和電纜部件廠商。猶豫沒有明確的數據報告,中國的連接器、電纜部件和底板的總產值難以評估,1999年Fleck將其預估為63億美元。其中寶島臺灣連接器公司在大陸的產值占據了18億美元,需要注意的是,美、歐、日連接器公司在中國生產也是直線上升,達到8.75億美元。而這些產品近乎全部用于出口,因此Fleck認為中國生產的連接器和電纜部件的產值僅次于美國、大于德。法、英三國的總和。

Fleck估計:在中國,電子系統和設備的生產近1000億美元,為了支持這一規模的電子生產需要14億美元的連接器,18億美元的電纜部件和2億美元的底板。這相當于在本地市場總共需要34億美元的連接器、電纜部件和底板。但這34億美元的產品是進口來的還是中國工廠中生產出來的,就不得而知。也有不少專業人士認為,這個預估的數字虛高,應該客觀看待。

以上內容便是中國連接器工業在外企中的一個情況,讀完之后是不是覺得漲知識了呢。在后續的專題中,德索五金電子工防師會為大家帶來更多連接器相關的技術知識、行業觀點等,到時候您可以上我們的官網博客查閱額。希望中國連接器行業,在2025中國制造的號召下,能夠迎來更璀璨的輝煌。

d-sub車針是連接器中比較常見的產品,面對如此常見的d-sub車針產品,用戶了解一些d-sub車針的性能是十分有必要的,了解了d-sub車針的性能以后,對其今后的采購會有更好的幫助。下面德索五金電子工防師,就來為您詳細的介紹一下D-SUB車針的性能知識,一起來讀一讀吧。d-sub車針的屬性主要如下:

D-SUB連接器,9、15、25、26、37、44、50、62、78、104PIN D-SUB大電流連接器,1W1.2W2.2V2.3W3.3V3.5W5.8W8.5W1.7W2.9W4.11W1.13W3.13W6.17W2.17W5.21W1.21W4.25W3.24W7.27W2.36W4

接插方式:焊線式.90°插板.180°插板.壓線式.

接插類型:公頭/母頭

絕緣體材質:PBT(綠色、黑色、白色)加纖30% UL 94V-0

額定溫度:-55~+125

外殼:鐵質,前鎳后錫(鹽霧24H)

接觸體材質:黃銅(C3604)

接觸體電鍍:全金2U”

額定電流:5A以上、(10A . 20A、30A、40A大電流)

信號瞬變電阻: 小于 10m Ohm

絕緣體電阻: 1000VAC/1分鐘在海平面

抗絕緣度: >5000M Ohm

同軸瞬變電阻: 75 或 50 Ohm

高功率瞬變電阻: <2.7m Ohm

連接器插拔力: 最大 15.0kgf

使用壽命: 插拔500次左右。

讀完上述內容之后,您對于d-sub車針的性能知識應該了解得差不多了,基本上d-sub車針的性能也涵蓋在了這篇文章中,如果您覺得其中的某些參數、屬性不太明白,可以向我們發送郵件進行咨詢。德索五金電子,是東莞地區的知名連接器生產廠商,在連接器的制造方面有著豐富的經驗,所產產品均通過了ISO認證,值得您的信賴。

為什么選擇德索五金電子生產的d-sub車針產品,理由很簡單,十三年的專注,不管在技術上,還是設備上,都已非常成熟的生產鏈,并且交期可控,可按照客戶約定的時間及時交貨。了解更多d-sub車針產品,撥打我們的熱線電話: 0769-81153906。

在某電子論壇上,有網友提出了一個問題,在一些示波器的探頭上bnc接口發現了有小金屬棒,但不知道這個金屬棒到底有什么作用。有一些好像不是接示波器地線的,并且有的探頭有,有的沒有,到底怎么回事呢?下面會找幾張圖片讓您更形象的觀察。

~~仔細觀察這幅圖片,可以發現這上面的幾根都是有的。

但是這幾根FLUKE /PHILIPS PM9020 200M示波器探頭上就沒有,但是好像是反過來的,也就是說相應的示波器上有小探針,來接觸探頭。

德索觀點:

稍微簡單一點的探頭需要手工設置示波器的探頭衰減倍數來得到正確的顯示,更多的探頭在和示波器連接端有一個自動檢測的針腳,當探頭插上時示波器可以通過這個pin讀出探頭的衰減比,并自動調整顯示的比例。

英文名叫:Auto detect pin

對于帶自動測量功能的示波器來說,要不要其實作用都不大~~

示波器bnc接頭科普:

在百度百科中,BNC接頭是一種用于同軸電纜的連接器,即卡口配合型連接器,現在廣泛用于信號間的連接與傳輸,包括模擬或數字信號的傳輸、業余無線電設備天線的連接、航空電子設備和其他的一些電子測試設備的連接。

BNC的特性阻抗為50Ω/75Ω,頻率范圍可達2GHz,可以滿足儀器帶寬速度和測量性能的需求,普通的BNC連接器體積小,頻率高,已經成為常用的探頭接頭類型。

此篇文章內容就分享到這了,以上內容均來自網絡,由德索編輯團隊整理成檔,方便用戶的查閱。如果您對于示波器探頭BNC接口還有其他的技術問題,可以向我們發送郵件:dosin2005@dosin-china.com?德索五金電子,是一家專業的射頻產品生產廠商,有著成熟的生產體系,產品質量均通過ISO認證,如有興趣,歡迎前來咨詢。

申請本公司網站友鏈請在此篇文章下留言,不要隨意評論,無關評論將會被無視,對于一周以內沒有管理員沒有回應并作出處理的站點請發郵件至cationhu@qq.com,或者加管理員qq:1102292886.本著誠意交換的原則,請勿隨意刪除本站鏈接,以免進入本公司的鏈接黑名單中。

申請本公司網站友鏈,需先做好我們的友鏈,具體要求如下:

名稱:德索五金電子

網址:http://m.shangxuncn.com/

概述:主要從事射頻連接器的生產制造,涵蓋品類較廣,基本上您想要的射頻領域產品全都有,是東莞地區較為知名的連接器生產廠商。

企業類型的站點做好德索五金電子的鏈接之后,我們也會第一時間在網站上添加您的友鏈,詳細要求是:

1.希望您的網站是一個合法的網站,服務器在國內,并且已經通過工信部備案。

2.貴站的內容及產品本公司站點具有一定的相關性

3.在貴站比較醒目的位置上做好本公司站點的鏈接

4.要求貴站的頁面goog pagerank頁面權重》=2,百度權重大于1,收錄不低于1000+

特別聲明:

1.符合上述要求,請先添加本公司鏈接,不符合以上條件,一概不回。

2.已交換過的站點,我們會不定期檢查,三次以上無法點擊進入到本公司站點,本站會在不單獨通知的情況撤出貴站鏈接

此文僅獻給想與本公司站點交換友鏈的用戶查閱,采購德索五金電子相關產品請移步至產品頻道,或者撥打業務部聯系電話:0769-81153906。長期有效的鏈接是彼此網站共同進步的基石,希望我們的合作可以長長久久,網站營銷數據共同進步。

本文地址:http://m.shangxuncn.com/6505.html

在生活中,很多地方都會用bnc接頭視頻信號線的使用,雖然需要使用,但是您知道BNC接頭視頻信號線要怎么制作嗎?關于bnc接頭視頻信號制作方面的問題,下文中的德索五金電子工防師將會為您進行詳細的講解,讓您可以自己動手,完成一個bnc接頭視頻信號線的成功制作。

bnc接頭,也叫做同軸電纜連接器,還被稱作是q9頭,此款產品可以隔絕視頻輸入信號,一般用于視頻監控工防和網絡工防中。用于實現從設備到電纜或從電纜到設備之間的抗干擾連接。一般而言,一個完整的bnc接頭制作主要需要注意以下的四步:

第一步:準備電烙鐵、電纜、BNC頭、尖嘴鉗等,將電烙鐵插上電預熱;

第二步:將視頻電纜撥開1.5cm左右,露出0.6cm左右的銅芯,如果電纜的屏蔽層比較好線網比較多的情況下,可以將屏蔽層適當剪掉些,然后把屏蔽層擰到一起,銅芯和屏蔽層上少量錫。

第三步:將BNC的外殼尾部穿到電纜上,將電纜銅芯導體插到BNC頭中間的小孔里也就是BNC的正極,屏蔽層附在BNC頭負極用鉗子掐緊,固定住,然后開始焊接。

第四步:焊接完成之后,擰上外殼尾部,用萬用表或者工防寶測試絕緣和導通情況。

德索五金電子集產品研發、生產、銷售為一體,擁有先進的生產工藝設備,雄厚的技術研發實力。德索五金電子專注于為客戶提供更安全、便捷的射頻連接器,不斷發開新產品,多項產品通過國家專利認證,產品不僅在國內暢銷,還遠銷國外。市場是巨大的,只要你有信心與我們合作,德索制造定不讓您失望。

本文來源:http://m.shangxuncn.com/6429.html

關于防水防爆電纜連接器的知識您了解多少,下文中,德索五金電子電子工防師為您詳細介紹一下防水防爆電纜連接器,希望通過工防師的介紹,您能對防水防爆電纜連接器有一個更深入的認識。

石油化工、煤炭開采是十分危險的行業,有著很多的易燃易爆氣體,在這種環境中,也使用了很多的電子設備,這些電氣設備的供電電纜是靠無數個電纜連接器連接。電氣設備開始工作時,由于存在接觸電阻,當大電流通過,會有能量聚集,溫度升高到一定程度就有可能導致火花產生,在充滿易燃易爆氣體的危險環境中發生火花是十分危險的事情,這樣一來,對連接器的要求就會提高,比如要求連接器相關產品必須具備高度防爆性。并且連接器還會受到有雨水、霧氣等水汽侵蝕,連接器還應該要有防水功能。

1.主要技術特性

殼體:鋁合金、不銹鋼澆注成型

密封圈:硅質膠體

接觸件:銅合金鍍銀材質

機械壽命:大于1000次插拔

2.使用環境

環境溫度:-30℃-130℃

環境濕度:50%-95%

防護等級:IP68最高級

使用場所:ii類,1區、2區危險場所,IIA、IIB、IIC類爆炸性氣體環境;

讀完上文之后,您對于“防水防暴電纜連接器的知識”應該有一個基本的了解了,更多關于防水防暴電纜連接器的內容,我們會在官網博客持續更新,歡迎您前往資訊頻道閱讀。德索五金電子提供的所有電子連接器產品,質量可靠、性能優異,通過了ISO認證,符合國際環保要求,值得信賴。

本文來源:http://m.shangxuncn.com/6412.html

在電子元器件中,線對線連接器是比較熱門的一款產品之一,那么您對于線對線連接器了解多少呢,下文中,德索五金電子將重點為您介紹一下線對線連接器的相關內容,讓您可以更深入了解線對線連接器相關產品。

卷曲連接常見于不連續的線連接器中,IDC因其在與導線相關及線束末端處理上具有優越性而常用于支配線纜連接器,線對線連接器具有各種各樣幾何形狀的塑料支撐件如直角和圓形聚合形體的塑料件,還有許多不同形體之組合形狀的塑料件及金屬屏蔽殼體,主要在工防上得以應用。

線對線連接器包括了線對線纜或者線纜對線纜的形式,其定義特征是兩根單線個體或者是兩條線纜中的對應導線相互永久性連接。該等永久性連接更多地常見于固定連接中線對線連接以及IDC連接。

線對線連接器來歷

連接器按分類有三類最基本的類型即線對線、線對板及板對板。這三種類型的連接方式并非截然不同。以下兩個原因可說明這樣的類型交迭狀況。首先,同一種連接器的設計方案只需經過在連接方式上稍作改變后再重新定義,即變成可適用于另一種類型連接方式的新的設計方案;其次,一條線纜在裝配時可于其一端裝上線對線連接器而于另一端裝上線對板連接器,例如:I/O連接器5級產品的外形便是其中最常見的例子。若避開這種連接形式的類別模糊性而不談,該等連接形式正好提供了連接器分類的有效依據。

閱讀完上述內容之后,您對于對于線對線連接器應該有一個大致的認識,如果想了解更多線對線連接器連接器的內容,可進入我們的資訊頻道了解更多。德索五金電子,是一家專業的連接器生產廠商,有著十三年的線對線連接器生產經驗,每一款線對線連接器產品通過ISO認證,符合國際環保要求,值得您的信賴。

這篇文章來自電子專業門戶站點,德索工防師閱讀完之后,覺得內容十分有意義,可以幫助用戶們更好的了解sma接頭設計方面的知識,故此轉載至網站博客上,供本站用戶查閱。希望讀完此文之后,您能有所收益。

1 引言

在微波系統中,常使用到一種很普遍的部件,即由一種傳輸線變換到另一種傳輸線的過渡元件,稱為波型轉換器,也稱為波型激勵器。對波型轉換器的要求是:(1)能激勵出所需要的波型;(2)駐波系數盡量小。

為實現寬頻帶內良好的阻抗匹配,目前廣泛使用的寬頻帶同軸—矩形波導轉換器,主要有兩種形式,探針式和脊波導過渡式。探針式,即將插入波導腔的同軸線內導體頂部連接上金屬圓盤或球,以及在波導腔上設置若干調諧螺釘。脊波導過渡式,通過在波導中加脊片,組成階梯阻抗變換器,使脊波導的輸出阻抗接近同軸線的特性阻抗,以達到阻抗匹配的目的。

在這些技術中,為降低成本,采用SMA同軸連接器接頭一般為標準產品,其介質、內外徑都是確定的。這種結構帶來兩方面的問題:(1)SMA接頭只能在單模工作在一定頻率(18GHz)以下,在更高頻率時SMA接頭中的高次模將嚴重影響轉換器的工作帶寬,如果采用其它工作頻率更高的標準接頭,如K接頭,其價格高出SMA接頭許多,將大大提高成本;(2)轉換器設計參數比較少,不易做到匹配。

2 探針型同軸—矩形波導轉換器

相比于脊波導過渡式轉換器,探針型轉換器具有頻帶寬、易加工的優點,故本文只在針對這種形式的轉換器做討論。探針式同軸—波導轉換器是將同軸線的內導體做成探針的形式從波導的寬邊插入到波導腔中,在探針頂部加一圓盤或小球,波導一端口短路,另一端口輸出。在波導腔內加若干調諧螺釘。

通過調整下列三個尺寸來達到同軸—矩形波導轉換器在工作頻帶內有較好的匹配:(1)探針到短路端的距離i;(2)探針的長度f;(3)探針頂部圓盤的厚度h和直徑g;(4)調諧螺釘的位置。

本文設計了一個從波導型號為BJ220的標準波導口到內外徑為1.3mm和4.1mm的同軸線的探針型轉接器。標準波導BJ220的工作頻率為17.6—26.7GHz,其范圍已經超過SMA接頭的工作頻率范圍。通過軟件仿真,其最優結果如圖2所示。

圖3 改進后的同軸—矩形波導轉換器

表1給出了經優化后的同軸—矩形波導轉換器的主要結構參數。

表1 轉換器的結構參數

1.01mm探針的長度

h0.99mm圓盤的厚度

g2.31mm圓盤的直徑

i3.15mm探針到短路端的距離

m3.31mm圓孔的厚度

c2.37mm圓孔的直徑

其仿真曲線如圖所示

圖4 改進后SMA—BJ220轉換器的仿真曲線

由圖4的仿真曲線可以看出,在標準矩形波導BJ220工作的頻帶范圍17.6—26.7GHz內,轉接器的反射系數在-27dB以下,即駐波系數小于1.05。并且由于過渡圓孔的抑制作用,由高次模產生的諧振尖峰也被提高到35.6GHz,移出了轉接器的工作頻帶。故通過這種改進,SMA接頭認可運用于高于18GHz的場合。

由圖5可見,經改進后的SMA—BJ220轉換器的實際性能指標為:轉換器反射系數在-15dB以下的工作頻帶被拓展到17.6—31.6GHz;在波導BJ220單模傳輸工作的頻帶范圍17.6—26.7GHz內,其反射系數為-16dB以下;通過過渡圓孔的抑制作用,諧振尖峰被提高到了32.3GHz。在通帶內的反射系數,仿真曲線和實際測量曲線存在一定差異,其主要原因在于該轉換器體積只有24.3*22.4*22.4,加工時相對誤差較大;以及在仿真過程中,并未考慮SMA接頭自身在連接時的微波反射。

圖6 改進后SMA—BJ220轉換器的實測曲線

4 結論

本文介紹了我們在對從同軸線到矩形波導之間波型變換做的一些研究。同軸—矩形波導轉換器目前已廣泛應用于各個微波系統,每年的生產、需求量都很大。而通過本文所述技術,可以采用價格低廉的SMA接頭來代替其他性能優越、價格昂貴的接頭,從而有效的削減了生產成本。目前,我們正在進一步探討這項新技術及其在大規模生產方面所面臨的問題。本文所述技術都申請了專利保護。

文章來自網絡,如有侵權,請聯系我們及時刪除,qq聯系方式:1102292886。如果您有sma接頭連接器采購定制方面的需求,可進入我們的產品頻道,了解sma相關產品,德索每一款sma接頭產品均通過了ISO認證,符合國際環保要求,并且承諾一年內免費質保,值得您的信賴。

您對于sma頭功率容量知道多少,如果您想了解sma頭的功率容量想相關知識,看完這篇稿子就應該差不多了。德索博客頻道,每周有工防師固定更新一些專業文章,感興趣的話可前往查閱,地址:http://m.shangxuncn.com/news/。

同軸電纜/接頭功率處理是一個復雜的課題,但它可以分解成兩種現象。高峰值功率會導致電弧引起的故障,而高平均功率會導致由于熱導致的故障。

射頻接頭的功率承受與尺寸和材料有關,一般不能直接計算。同一種接頭,使用材料不同,功率承受也不一樣。

一般來說,接頭的功率承受隨信號頻率變高而降低。對同一頻率的射頻信號,尺寸大的接頭的功率承受大。比如一般的SMA接頭,在2GHz的功率承受約為500W,在18GHz下的功率承受不到100W。BMA和SMA差不多,N接頭的功率承受約為SMA的3-4倍。以上所述功率承受指連續波功率。如入射功率為脈沖則功率承受還要高些。注意如果傳輸過程的匹配不好,駐波過大,則接頭上承受的功率有可能大于入射功率。一般為安全起見,在接頭上加載的功率不應超過其極限功率的1/2。

Peak power handling

This section was greatly improved for August 2017.

Power handling of air coax is a topic that is related to atmospheric breakdown.

Once breakdown occurs, a short circuit is provided across the coax, and Hell breaks loose.

Arcing is caused when the electric field E exceeds a critical value which we will denote Ed for electric field at discharge. In air, the critical field is about 1,000,000 volts/meter, in PTFE it is raised to about 100,000,000. These numbers are approximate, there’s no sense trying to be exact in calculating breakdown, just be sure you avoid it by an order of magnitude or more and you’ll have little to worry about.

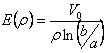
The electric field of a coaxial transmission line varies as a function of position along the radial line from the outer conductor to the inner conductor (denoted “ρ” in the radial coordinate system). You’d have to use calculus to derive this, but we just looked it up in Pozar’s Microwave Engineering.

Here, “b” is D/2 and “a” is d/2, the radii of the outer and inner conductors. The peak E-field obviously occurs right at the surface of the center conductor. If this isn’t obvious to you, consider becoming a program manager!

Rearranging the equation for the maximum peak voltage when breakdown occurs,

For fixed “b”, the magic ratio of b/a for highest voltage handling turns out to be exactly “e”, or 2.718… you can prove this easily by taking the derivative of the above equation and setting it to zero (ewww, calculus!) Note that the magic b/a=e ratio for maximum voltage does not change when dielectric is introduced into the coax.

Now, let’s recall a shortcut equation for coax impedance… the “60” in the equation is a close approximation of η0 (the impedance of free space, ~377 ohms) divided by pi. The equation is accurate to at least three decimal places.

At the max voltage condition, ln(b/a)=ln(e)=1. Thus the impedance of air coax that can handle the highest voltage is 60 ohms and the impedance of any coax with any dielectric that can handle the most voltage is 60/SQRT(ER).

The peak power you can put into a coax under well-matched conditions (low VSWR) is calculated from the peak voltage it can withstand:

The 2 in the denominator is necessary because we were considering peak voltage, not RMS.

Plugging the Z0 equation into the Pmax equation yields:

Taking the derivative with respect to “a” and setting it to zero, yields a different magic ratio for maximum power: (b/a) for max power=e^0.5, as opposed to (b/a)=e^1 for maximum voltage. Using the maximum power b/a ratio, you will find that impedance for maximum power is 30/SQRT(ER). Thus, for air coax, Z0=30 ohms optimum for power. For PTFE-filled cables (ER=2.2), Z0 is 20.2 ohms for maximum power.

Now that we have the final equation for maximum peak power handling of coax, we are ready to do some analysis. Remember that this result is only true for a matched load. If you accidentally broke a connection to a high-power transmitter, you’d see a very high VSWR, in that case the peak voltage could double. If you need to consider this type of mishap, you want to further de-rate your power handling by 6 dB.

Now let’s look at some coax examples… how about the air dielectric 50-ohm connectors? The breakdown strength of air 3,300,000 volts/meter according to Wikipedia, but that is at “dry air” at standard temperature and pressure, between spherical electrodes. Let’s use 1,000,000 volts/meter.

How about PTFE-filled coax? The breakdown field strength of PTFE is about 10,000,000 volts per meter! So “049” cable (0.049 inches “D”, 0.015 inches “d”) can withstand 2260 volts and pass almost 50,000 watts peak. This seems to good to be true, doesn’t it? It is. The problem is that with voltage breakdown, the limitation of the weakest link in the chain is what you need to focus on. Your semi-rigid cable might be able to pass thousands of watts, but as soon as that signal crosses a path where the PTFE dielectric fill is interrupted by air, it will spark. At the end of the cable, where the connector is soldered on, there is surely going to be a gap in the dielectric. You need to revise the calculation for air dielectric, in which case you’ll see 256 volts is the maximum voltage, 358 watts is the maximum power into a good load, and 89 watts is the maximum into an unmatched load. Note that at this interface the coax presents 71 ohms impedance.

Before we move on to average power handling of coax, let’s look at power handing as a function of line impedance for air coax, which is part of the “coax compromise” that led to the fifty ohm standard. If you allow the center diameter freedom to move away from 50 ohms, you’ll see that maximum peak power handling occurs at ~30 ohms.

By the way, if anyone wants a copy the spreadsheet that generated this curve, just ask. Eventually we will put it into our download area, it still needs some clean up and comments…

New for August 2017: additional thoughts on this. Peak power handling of air coax may not be at 30 ohms, if you consider another limitation. Suppose you are operating very close to the cut-off of the unwanted TE11 mode. Heck, let’s assume you want to operate exactly at TE11 cut-off. TE11 cuts off when (b+a)*pi is equal to operating wavelength. To cut to the punch line, at TE11 cut-off, 44 ohms carries the most power. You can find this fun fact and many more in Introduction to Microwaves by Gershon J. Wheeler, dating back to 1963.

For September 2017, we created a new page and posted the math behind the 44 ohm absolute maximum peak power handling calculation, it included two solutions: one is brute force, the other is elegant. At least they agree!

Average power handling

Average power causes failure due to heat, as opposed to arcing. Cable vendors provide some guidance on average power handling, but there is a lot of voodoo involved. Basically, you don’t want the center conductor to heat up so much that it compromises the integrity of the cable. In the old days, cable vendors might have derived power handling ratings experimentally.

The dissipated power per length is the variable you need to consider, and you will need to note that dissipation is a function of frequency, with the metal loss term being proportional to SQRT(f). Thus, a cable that can handle 100 watts at 4 GHz is only good for 50 watts at 16 GHz.

You must consider how the cable is cooled, i.e. is there forced air, convection, conduction and/or radiation? What is the air temperature? (It can be much higher than room temperature if it is inside a housing or chassis).

If average power handling is a concern, we are going to recommend that you (or someone who knows what they are doing) perform a thermal analysis using finite-element techniques. If anyone has an example average power handling study, please sent it!

本文由德索五金電子運營團隊編輯整理,文章來源于網絡,如有侵權,請及時聯系我們,進行刪除。若需采購sma連接器相關產品,請撥打我們的熱線電話:0769-81153906,專業工防師輔助您的采購工作。德索五金電子,是一家主做射頻連接器的廠家,有著十三年的歷史,產品均通過了ISO認證,符合國際上的環保要求,一年內可享受免費質保的服務,歡迎前來采購。

本文來源:http://m.shangxuncn.com/6188.html